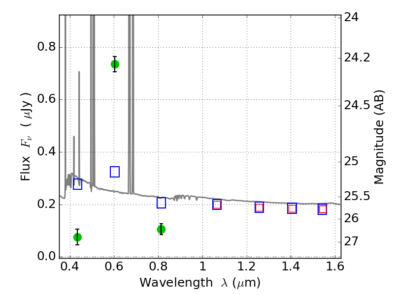
RXC0142+44 ACS+IR detection object #3775

Color images and BPZ results
Catalog: 3775.cat
Black segments are analyzed here.   Roll mouse over color images to view segments.
Best viewed in a wide browser window (1200 pixels or more).   Download SED & P(z) plots to view larger versions.
In P(z) plots: Yellow lines mark the cluster redshift z = 0.341,  

Object #3775   x,y = (4296, 2008)   RA, Dec = (01:42:44.712, 44:37:33.60) = (25.68630, 44.62600)   BPZ = 0.017 [0.010--0.034]   type = 11.00 (SB11_A_0_l)   chisq2 = 180.60   ODDS = 1.00   z_cluster = 0.341