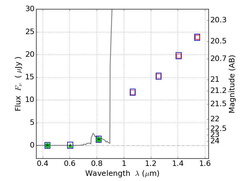
RXC0142+44 ACS+IR detection object #3694

Color images and BPZ results
Catalog: 3694.cat
Black segments are analyzed here.   Roll mouse over color images to view segments.
Best viewed in a wide browser window (1200 pixels or more).   Download SED & P(z) plots to view larger versions.
In P(z) plots: Yellow lines mark the cluster redshift z = 0.341,  

Object #3694   x,y = (4290, 2055)   RA, Dec = (01:42:44.760, 44:37:36.48) = (25.68650, 44.62680)   BPZ = 6.386 [6.000--8.785]   type = 6.00 (Sbc_B10)   chisq2 = 0.00   ODDS = 0.43   z_cluster = 0.341