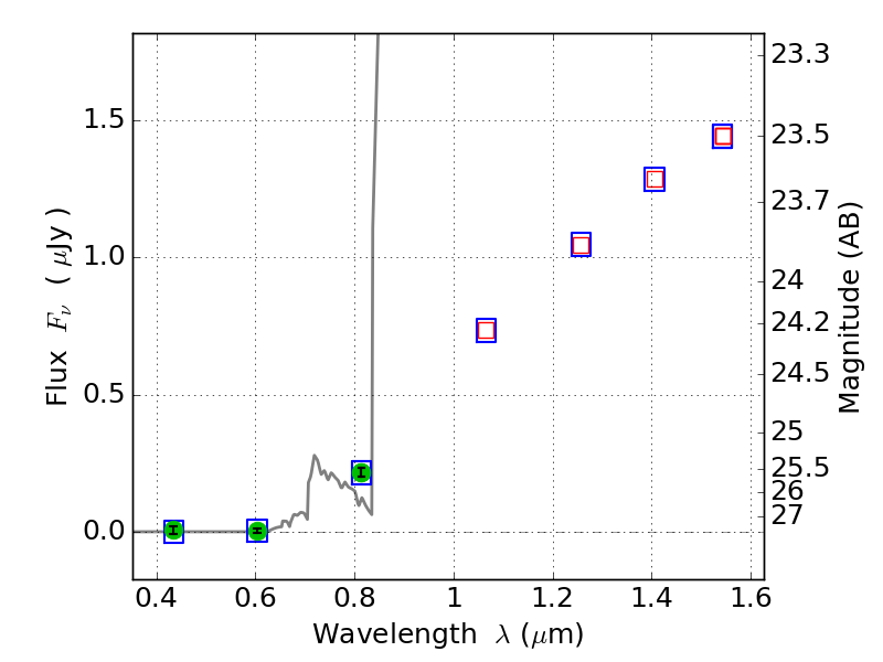
RXC0142+44 ACS+IR detection object #3664

Color images and BPZ results
Catalog: 3664.cat
Black segments are analyzed here.   Roll mouse over color images to view segments.
Best viewed in a wide browser window (1200 pixels or more).   Download SED & P(z) plots to view larger versions.
In P(z) plots: Yellow lines mark the cluster redshift z = 0.341,  

Object #3664   x,y = (794, 2079)   RA, Dec = (01:43:04.392, 44:37:37.92) = (25.76830, 44.62720)   BPZ = 5.879 [1.557--8.797]   type = 6.00 (Sbc_B10)   chisq2 = 0.00   ODDS = 0.23   z_cluster = 0.341