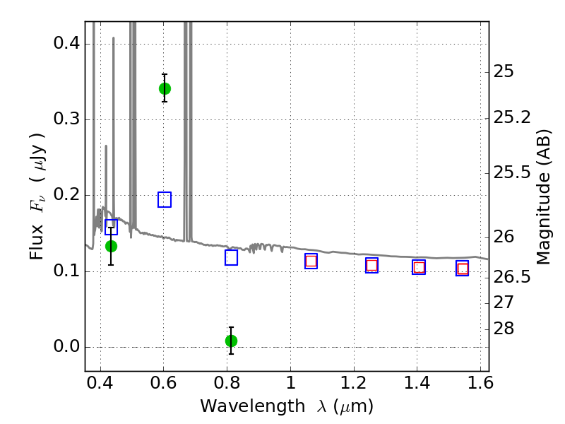
RXC0142+44 ACS+IR detection object #3536

Color images and BPZ results
Catalog: 3536.cat
Black segments are analyzed here.   Roll mouse over color images to view segments.
Best viewed in a wide browser window (1200 pixels or more).   Download SED & P(z) plots to view larger versions.
In P(z) plots: Yellow lines mark the cluster redshift z = 0.341,  

Object #3536   x,y = (798, 2153)   RA, Dec = (01:43:04.392, 44:37:42.24) = (25.76830, 44.62840)   BPZ = 0.018 [0.010--0.039]   type = 11.00 (SB11_A_0_l)   chisq2 = 93.64   ODDS = 1.00   z_cluster = 0.341