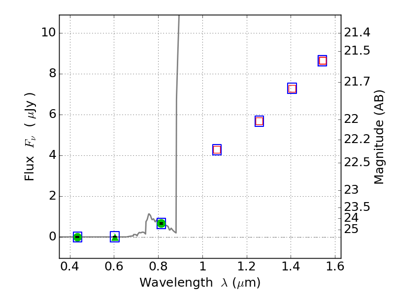
RXC0142+44 ACS+IR detection object #3458

Color images and BPZ results
Catalog: 3458.cat
Black segments are analyzed here.   Roll mouse over color images to view segments.
Best viewed in a wide browser window (1200 pixels or more).   Download SED & P(z) plots to view larger versions.
In P(z) plots: Yellow lines mark the cluster redshift z = 0.341,  

Object #3458   x,y = (800, 2200)   RA, Dec = (01:43:04.368, 44:37:45.12) = (25.76820, 44.62920)   BPZ = 6.252 [5.849--8.851]   type = 6.00 (Sbc_B10)   chisq2 = 0.00   ODDS = 0.39   z_cluster = 0.341