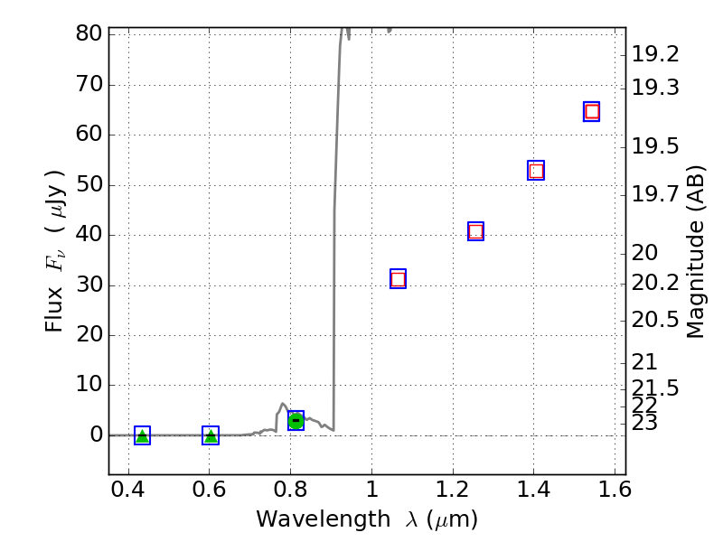
RXC0142+44 ACS+IR detection object #3374

Color images and BPZ results
Catalog: 3374.cat
Black segments are analyzed here.   Roll mouse over color images to view segments.
Best viewed in a wide browser window (1200 pixels or more).   Download SED & P(z) plots to view larger versions.
In P(z) plots: Yellow lines mark the cluster redshift z = 0.341,  

Object #3374   x,y = (4256, 3060)   RA, Dec = (01:42:44.952, 44:38:36.96) = (25.68730, 44.64360)   BPZ = 6.472 [6.196--8.472]   type = 6.00 (Sbc_B10)   chisq2 = 0.00   ODDS = 0.51   z_cluster = 0.341