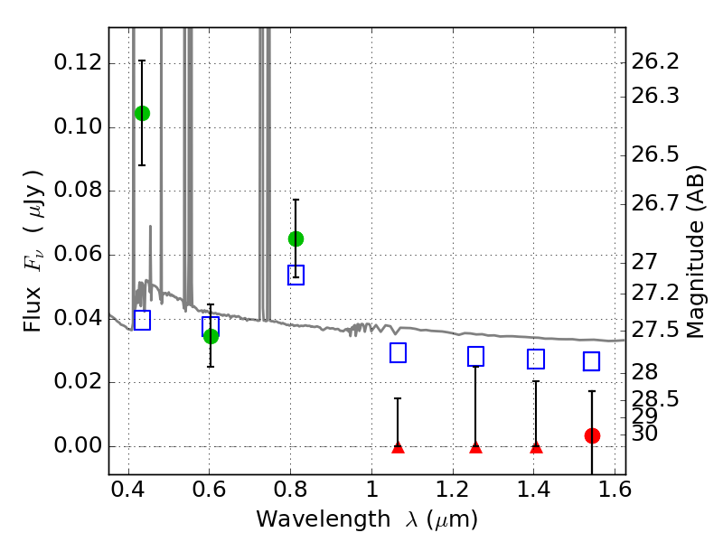
RXC0142+44 ACS+IR detection object #3271

Color images and BPZ results
Catalog: 3271.cat
Black segments are analyzed here.   Roll mouse over color images to view segments.
Best viewed in a wide browser window (1200 pixels or more).   Download SED & P(z) plots to view larger versions.
In P(z) plots: Yellow lines mark the cluster redshift z = 0.341,  

Object #3271   x,y = (2489, 2293)   RA, Dec = (01:42:54.864, 44:37:50.88) = (25.72860, 44.63080)   BPZ = 0.111 [0.072--0.304]   type = 11.00 (SB11_A_0_l)   chisq2 = 4.45   ODDS = 0.67   z_cluster = 0.341