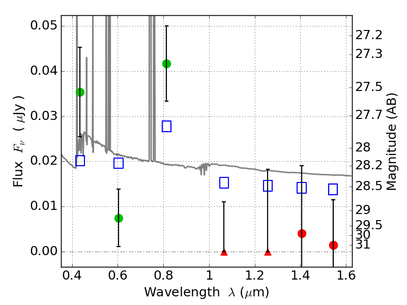
RXC0142+44 ACS+IR detection object #3253

Color images and BPZ results
Catalog: 3253.cat
Black segments are analyzed here.   Roll mouse over color images to view segments.
Best viewed in a wide browser window (1200 pixels or more).   Download SED & P(z) plots to view larger versions.
In P(z) plots: Yellow lines mark the cluster redshift z = 0.341,  

Object #3253   x,y = (2432, 2269)   RA, Dec = (01:42:55.200, 44:37:49.44) = (25.73000, 44.63040)   BPZ = 0.129 [0.084--1.086]   type = 11.00 (SB11_A_0_l)   chisq2 = 2.61   ODDS = 0.56   z_cluster = 0.341