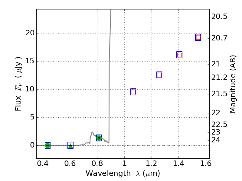
RXC0142+44 ACS+IR detection object #3175

Color images and BPZ results
Catalog: 3175.cat
Black segments are analyzed here.   Roll mouse over color images to view segments.
Best viewed in a wide browser window (1200 pixels or more).   Download SED & P(z) plots to view larger versions.
In P(z) plots: Yellow lines mark the cluster redshift z = 0.341,  

Object #3175   x,y = (793, 2332)   RA, Dec = (01:43:04.416, 44:37:53.04) = (25.76840, 44.63140)   BPZ = 6.296 [5.952--8.745]   type = 6.00 (Sbc_B10)   chisq2 = 0.00   ODDS = 0.41   z_cluster = 0.341