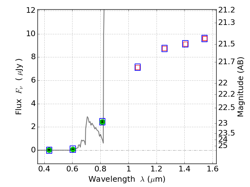
RXC0142+44 ACS+IR detection object #3161

Color images and BPZ results
Catalog: 3161.cat
Black segments are analyzed here.   Roll mouse over color images to view segments.
Best viewed in a wide browser window (1200 pixels or more).   Download SED & P(z) plots to view larger versions.
In P(z) plots: Yellow lines mark the cluster redshift z = 0.341,  

Object #3161   x,y = (4296, 2339)   RA, Dec = (01:42:44.712, 44:37:53.76) = (25.68630, 44.63160)   BPZ = 5.765 [5.610--6.009]   type = 7.20 (Scd_B10 - SB1_B10)   chisq2 = 0.00   ODDS = 0.98   z_cluster = 0.341