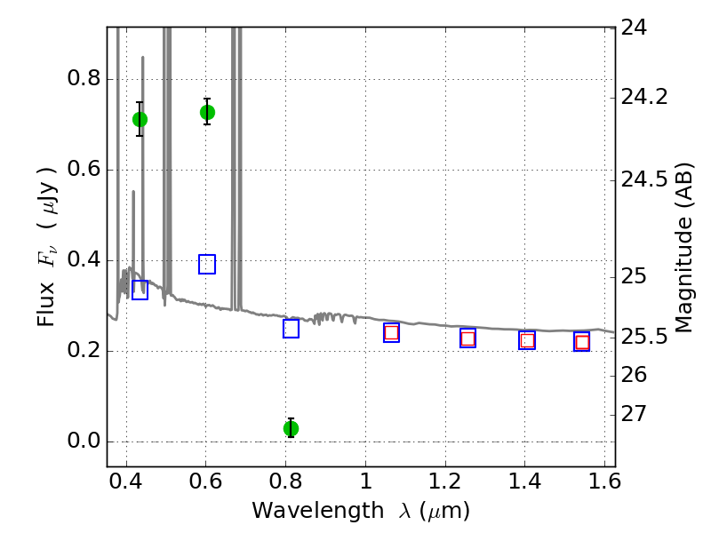
RXC0142+44 ACS+IR detection object #2931

Color images and BPZ results
Catalog: 2931.cat
Black segments are analyzed here.   Roll mouse over color images to view segments.
Best viewed in a wide browser window (1200 pixels or more).   Download SED & P(z) plots to view larger versions.
In P(z) plots: Yellow lines mark the cluster redshift z = 0.341,  

Object #2931   x,y = (773, 2476)   RA, Dec = (01:43:04.512, 44:38:01.68) = (25.76880, 44.63380)   BPZ = 0.017 [0.010--0.032]   type = 11.00 (SB11_A_0_l)   chisq2 = 233.80   ODDS = 1.00   z_cluster = 0.341