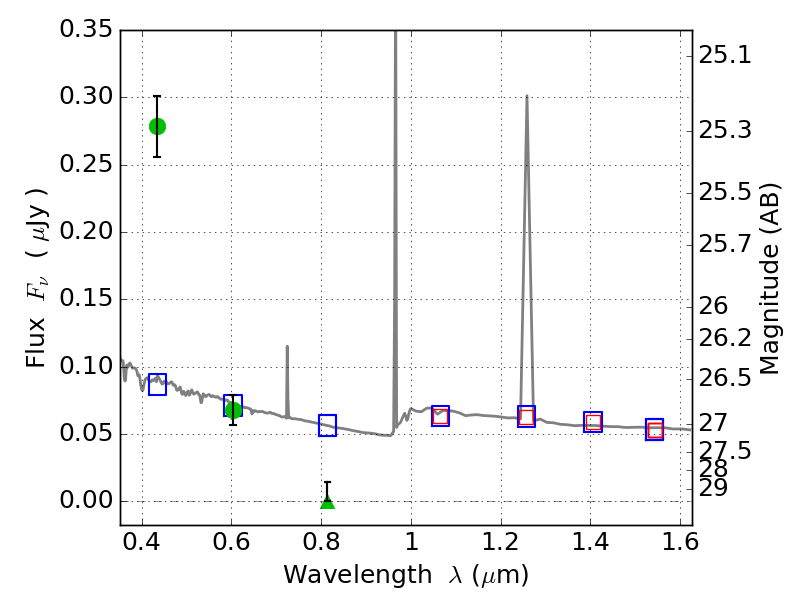
RXC0142+44 ACS+IR detection object #2863

Color images and BPZ results
Catalog: 2863.cat
Black segments are analyzed here.   Roll mouse over color images to view segments.
Best viewed in a wide browser window (1200 pixels or more).   Download SED & P(z) plots to view larger versions.
In P(z) plots: Yellow lines mark the cluster redshift z = 0.341,  

Object #2863   x,y = (735, 2510)   RA, Dec = (01:43:04.728, 44:38:03.84) = (25.76970, 44.63440)   BPZ = 1.593 [1.359--2.216]   type = 11.00 (SB11_A_0_l)   chisq2 = 93.80   ODDS = 0.36   z_cluster = 0.341