RXC0142+44 ACS+IR detection object #2583

Color images and BPZ results
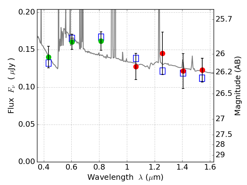
Catalog: 2583.cat
Black segments are analyzed here.   Roll mouse over color images to view segments.
Best viewed in a wide browser window (1200 pixels or more).   Download SED & P(z) plots to view larger versions.
In P(z) plots: Yellow lines mark the cluster redshift z = 0.341,  

Object #2583   x,y = (3213, 2652)   RA, Dec = (01:42:50.808, 44:38:12.48) = (25.71170, 44.63680)   BPZ = 0.365 [0.292--3.167]   type = 10.90 (SB11_A_0_l - SB3_B10)   chisq2 = 0.32   ODDS = 0.27   z_cluster = 0.341