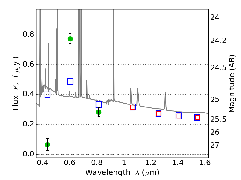
RXC0142+44 ACS+IR detection object #2452

Color images and BPZ results
Catalog: 2452.cat
Black segments are analyzed here.   Roll mouse over color images to view segments.
Best viewed in a wide browser window (1200 pixels or more).   Download SED & P(z) plots to view larger versions.
In P(z) plots: Yellow lines mark the cluster redshift z = 0.341,  

Object #2452   x,y = (4260, 2678)   RA, Dec = (01:42:44.928, 44:38:13.92) = (25.68720, 44.63720)   BPZ = 0.017 [0.010--0.051]   type = 10.70 (SB11_A_0_l - SB3_B10)   chisq2 = 84.49   ODDS = 0.98   z_cluster = 0.341