RXC0142+44 ACS+IR detection object #2448

Color images and BPZ results
Catalog: 2448.cat
Black segments are analyzed here.   Roll mouse over color images to view segments.
Best viewed in a wide browser window (1200 pixels or more).   Download SED & P(z) plots to view larger versions.
In P(z) plots: Yellow lines mark the cluster redshift z = 0.341,  

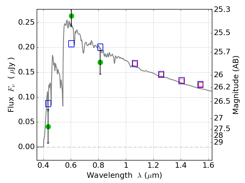
Object #2448   x,y = (4269, 2719)   RA, Dec = (01:42:44.880, 44:38:16.44) = (25.68700, 44.63790)   BPZ = 3.462 [2.610--3.703]   type = 11.00 (SB11_A_0_l)   chisq2 = 9.11   ODDS = 0.70   z_cluster = 0.341