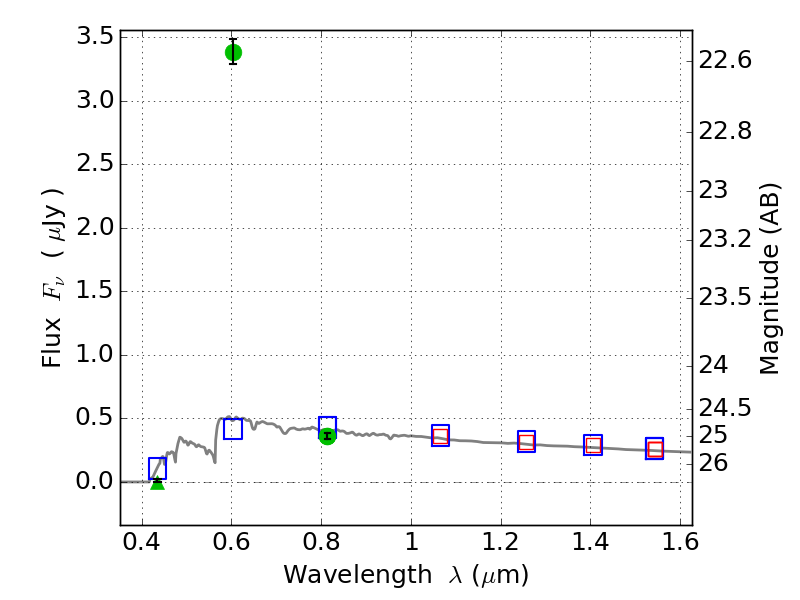
RXC0142+44 ACS+IR detection object #1951

Color images and BPZ results
Catalog: 1951.cat
Black segments are analyzed here.   Roll mouse over color images to view segments.
Best viewed in a wide browser window (1200 pixels or more).   Download SED & P(z) plots to view larger versions.
In P(z) plots: Yellow lines mark the cluster redshift z = 0.341,  

Object #1951   x,y = (4262, 2989)   RA, Dec = (01:42:44.904, 44:38:32.64) = (25.68710, 44.64240)   BPZ = 3.640 [3.564--3.732]   type = 11.00 (SB11_A_0_l)   chisq2 = 830.70   ODDS = 1.00   z_cluster = 0.341