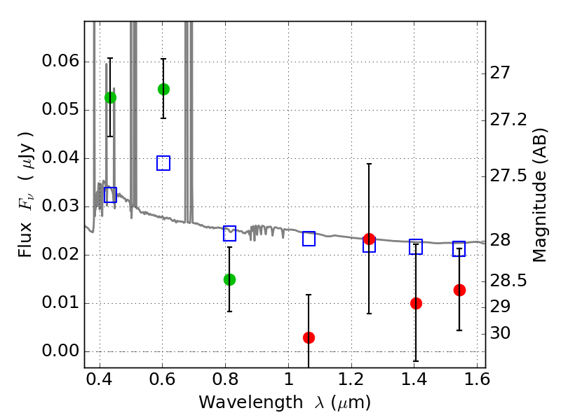
RXC0142+44 ACS+IR detection object #1877

Color images and BPZ results
Catalog: 1877.cat
Black segments are analyzed here.   Roll mouse over color images to view segments.
Best viewed in a wide browser window (1200 pixels or more).   Download SED & P(z) plots to view larger versions.
In P(z) plots: Yellow lines mark the cluster redshift z = 0.341,  

Object #1877   x,y = (2369, 3126)   RA, Dec = (01:42:55.560, 44:38:40.92) = (25.73150, 44.64470)   BPZ = 0.030 [0.014--2.722]   type = 11.00 (SB11_A_0_l)   chisq2 = 3.27   ODDS = 0.35   z_cluster = 0.341