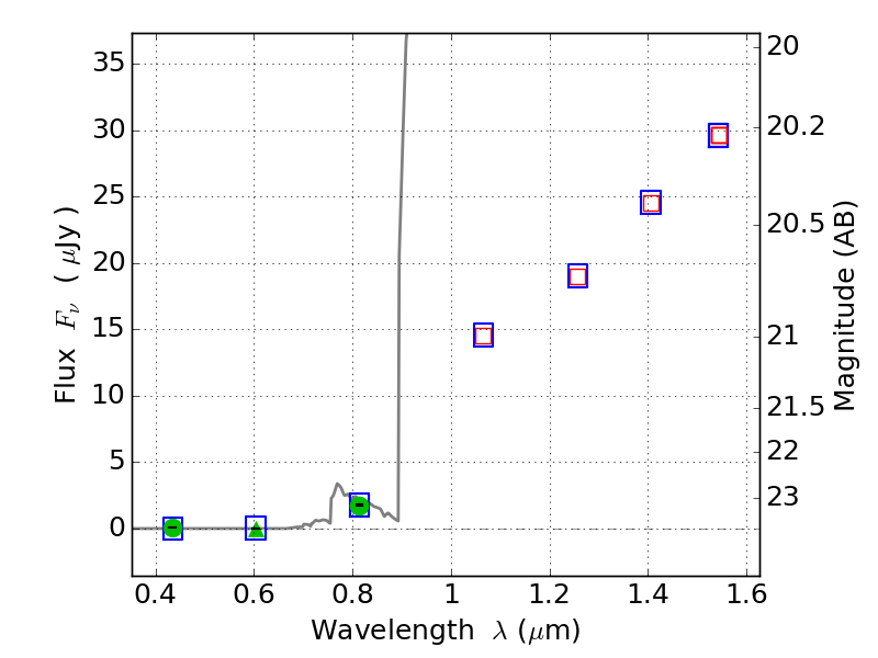
RXC0142+44 ACS+IR detection object #1614

Color images and BPZ results
Catalog: 1614.cat
Black segments are analyzed here.   Roll mouse over color images to view segments.
Best viewed in a wide browser window (1200 pixels or more).   Download SED & P(z) plots to view larger versions.
In P(z) plots: Yellow lines mark the cluster redshift z = 0.341,  

Object #1614   x,y = (685, 3281)   RA, Dec = (01:43:05.016, 44:38:50.28) = (25.77090, 44.64730)   BPZ = 6.363 [5.984--8.866]   type = 6.00 (Sbc_B10)   chisq2 = 0.00   ODDS = 0.45   z_cluster = 0.341