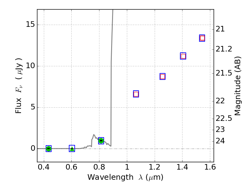
RXC0142+44 ACS+IR detection object #1612

Color images and BPZ results
Catalog: 1612.cat
Black segments are analyzed here.   Roll mouse over color images to view segments.
Best viewed in a wide browser window (1200 pixels or more).   Download SED & P(z) plots to view larger versions.
In P(z) plots: Yellow lines mark the cluster redshift z = 0.341,  

Object #1612   x,y = (4227, 3270)   RA, Dec = (01:42:45.096, 44:38:49.56) = (25.68790, 44.64710)   BPZ = 6.280 [5.918--8.803]   type = 6.00 (Sbc_B10)   chisq2 = 0.00   ODDS = 0.40   z_cluster = 0.341