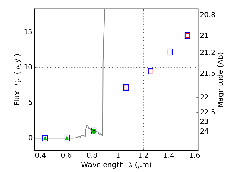
RXC0142+44 ACS+IR detection object #1017

Color images and BPZ results
Catalog: 1017.cat
Black segments are analyzed here.   Roll mouse over color images to view segments.
Best viewed in a wide browser window (1200 pixels or more).   Download SED & P(z) plots to view larger versions.
In P(z) plots: Yellow lines mark the cluster redshift z = 0.341,  

Object #1017   x,y = (688, 3654)   RA, Dec = (01:43:05.016, 44:39:12.60) = (25.77090, 44.65350)   BPZ = 6.292 [5.931--8.789]   type = 6.00 (Sbc_B10)   chisq2 = 0.00   ODDS = 0.40   z_cluster = 0.341