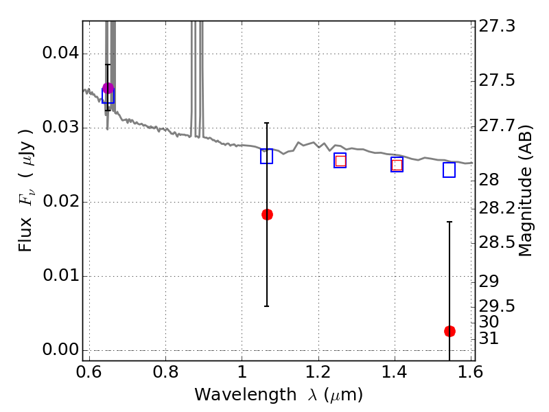
RXC0142+44-PAR IR detection object #321

Color images and BPZ results
Catalog: 321.cat
Black segments are analyzed here.   Roll mouse over color images to view segments.
Best viewed in a wide browser window (1200 pixels or more).   Download SED & P(z) plots to view larger versions.
In P(z) plots: Yellow lines mark the cluster redshift z = 0.341,  

Object #321   x,y = (1576, 3105)   RA, Dec = (01:43:23.208, 44:34:14.16) = (25.84670, 44.57060)   BPZ = 0.334 [0.083--3.265]   type = 11.00 (SB11_A_0_l)   chisq2 = 2.60   ODDS = 0.07   z_cluster = 0.341