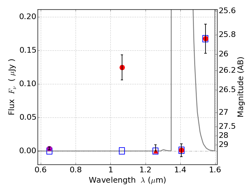
RXC0142+44-PAR IR detection object #1623

Color images and BPZ results
Catalog: 1623.cat
Black segments are analyzed here.   Roll mouse over color images to view segments.
Best viewed in a wide browser window (1200 pixels or more).   Download SED & P(z) plots to view larger versions.
In P(z) plots: Yellow lines mark the cluster redshift z = 0.341,  

Object #1623   x,y = (2955, 1289)   RA, Dec = (01:43:15.480, 44:32:25.08) = (25.81450, 44.54030)   BPZ = 12.282 [11.928--12.963]   type = 10.70 (SB11_A_0_l - SB3_B10)   chisq2 = 16.44   ODDS = 0.86   z_cluster = 0.341