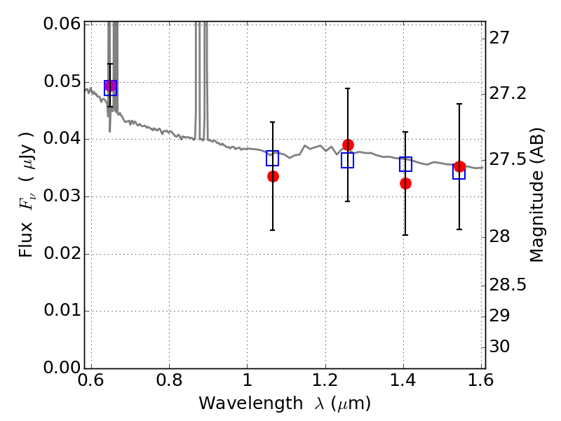
RXC0142+44-PAR IR detection object #690

Color images and BPZ results
Catalog: 690.cat
Black segments are analyzed here.   Roll mouse over color images to view segments.
Best viewed in a wide browser window (1200 pixels or more).   Download SED & P(z) plots to view larger versions.
In P(z) plots: Yellow lines mark the cluster redshift z = 0.341,  

Object #690   x,y = (2904, 2443)   RA, Dec = (01:43:15.744, 44:33:34.56) = (25.81560, 44.55960)   BPZ = 0.327 [0.103--3.164]   type = 11.00 (SB11_A_0_l)   stellarity = 0.04   chisq2 = 0.15   ODDS = 0.08   z_cluster = 0.341