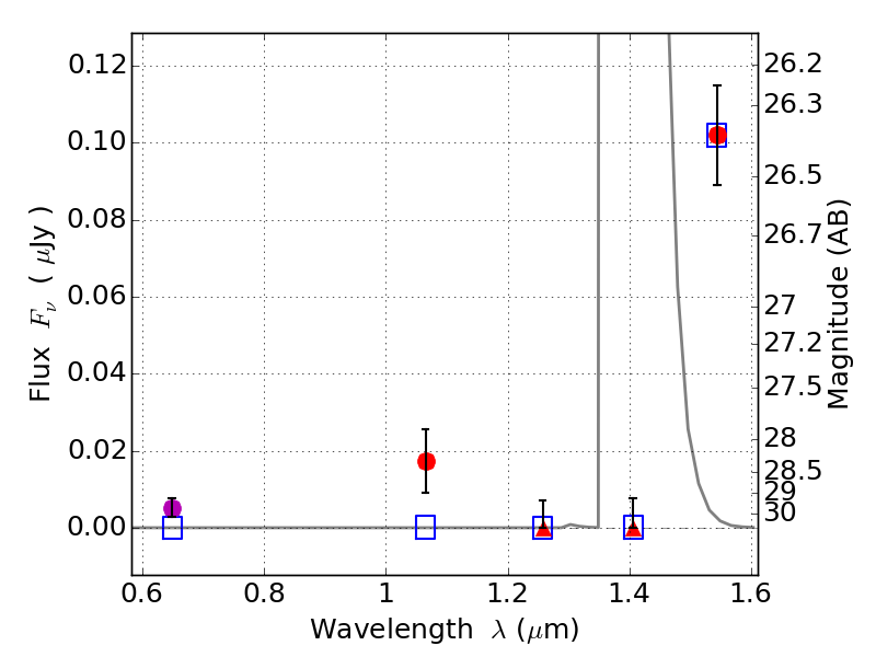
RXC0142+44-PAR IR detection object #45

Color images and BPZ results
Catalog: 45.cat
Black segments are analyzed here.   Roll mouse over color images to view segments.
Best viewed in a wide browser window (1200 pixels or more).   Download SED & P(z) plots to view larger versions.
In P(z) plots: Yellow lines mark the cluster redshift z = 0.341,  

Object #45   x,y = (2811, 3699)   RA, Dec = (01:43:16.272, 44:34:49.80) = (25.81780, 44.58050)   BPZ = 12.289 [11.881--12.964]   type = 11.00 (SB11_A_0_l)   stellarity = 0.73   chisq2 = 1.59   ODDS = 0.86   z_cluster = 0.341