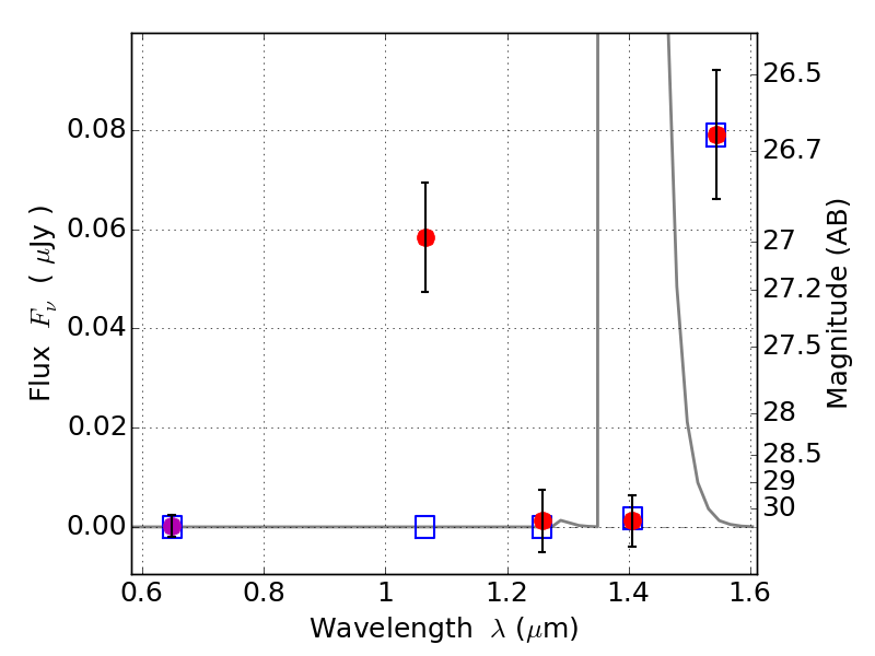
RXC0142+44-PAR IR detection object #300

Color images and BPZ results
Catalog: 300.cat
Black segments are analyzed here.   Roll mouse over color images to view segments.
Best viewed in a wide browser window (1200 pixels or more).   Download SED & P(z) plots to view larger versions.
In P(z) plots: Yellow lines mark the cluster redshift z = 0.341,  

Object #300   x,y = (2380, 3039)   RA, Dec = (01:43:18.696, 44:34:10.20) = (25.82790, 44.56950)   BPZ = 12.229 [11.815--12.960]   type = 11.00 (SB11_A_0_l)   stellarity = 0.65   chisq2 = 11.31   ODDS = 0.82   z_cluster = 0.341