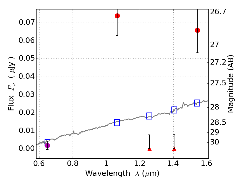
RXC0142+44-PAR IR detection object #1142

Color images and BPZ results
Catalog: 1142.cat
Black segments are analyzed here.   Roll mouse over color images to view segments.
Best viewed in a wide browser window (1200 pixels or more).   Download SED & P(z) plots to view larger versions.
In P(z) plots: Yellow lines mark the cluster redshift z = 0.341,  

Object #1142   x,y = (3227, 1558)   RA, Dec = (01:43:13.944, 44:32:41.28) = (25.80810, 44.54480)   BPZ = 0.613 [0.405--7.389]   type = 6.00 (Sbc_B10)   stellarity = 0.81   chisq2 = 25.10   ODDS = 0.08   z_cluster = 0.341