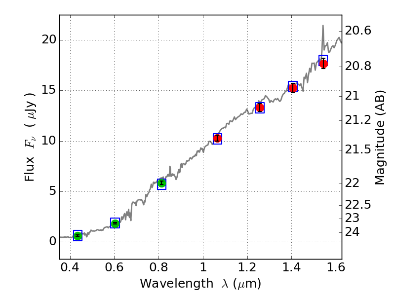
RXC0032+18 IR detection object #356

Color images and BPZ results
Catalog: 356.cat
Black segments are analyzed here.   Roll mouse over color images to view segments.
Best viewed in a wide browser window (1200 pixels or more).   Download SED & P(z) plots to view larger versions.
In P(z) plots: Yellow lines mark the cluster redshift z = 0.396,  

Object #356   x,y = (3295, 2893)   RA, Dec = (00:32:07.920, 18:08:16.44) = (8.03300, 18.13790)   BPZ = 0.703 [0.592--0.798]   type = 5.90 (Sbc_B10 - ES0_B10)   stellarity = 0.03   chisq2 = 0.02   ODDS = 0.80   z_cluster = 0.396