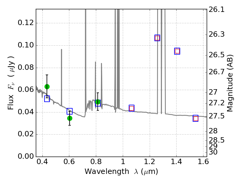
RXC0032+18 ACS+IR detection object #700

Color images and BPZ results
Catalog: 700.cat
Black segments are analyzed here.   Roll mouse over color images to view segments.
Best viewed in a wide browser window (1200 pixels or more).   Download SED & P(z) plots to view larger versions.
In P(z) plots: Yellow lines mark the cluster redshift z = 0.396,  

Object #700   x,y = (3133, 3928)   RA, Dec = (00:32:08.592, 18:09:18.36) = (8.03580, 18.15510)   BPZ = 0.940 [0.525--2.492]   type = 11.00 (SB11_A_0_l)   chisq2 = 1.22   ODDS = 0.15   z_cluster = 0.396