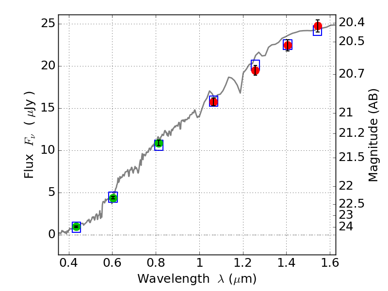
RXC0032+18 ACS+IR detection object #2987

Color images and BPZ results
Catalog: 2987.cat
Black segments are analyzed here.   Roll mouse over color images to view segments.
Best viewed in a wide browser window (1200 pixels or more).   Download SED & P(z) plots to view larger versions.
In P(z) plots: Yellow lines mark the cluster redshift z = 0.396,  

Object #2987   x,y = (3053, 2444)   RA, Dec = (00:32:08.928, 18:07:49.44) = (8.03720, 18.13040)   BPZ = 0.392 [0.308--0.429]   type = 4.10 (Ell4_A_0 - ES0_B10)   chisq2 = 0.07   ODDS = 0.89   z_cluster = 0.396