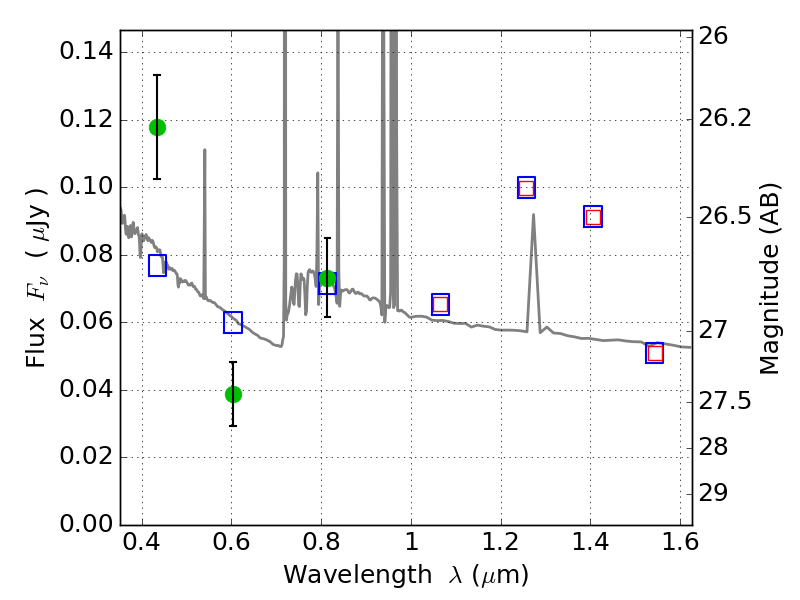
RXC0032+18 ACS+IR detection object #1494

Color images and BPZ results
Catalog: 1494.cat
Black segments are analyzed here.   Roll mouse over color images to view segments.
Best viewed in a wide browser window (1200 pixels or more).   Download SED & P(z) plots to view larger versions.
In P(z) plots: Yellow lines mark the cluster redshift z = 0.396,  

Object #1494   x,y = (3595, 3230)   RA, Dec = (00:32:06.648, 18:08:36.60) = (8.02770, 18.14350)   BPZ = 0.934 [0.683--10.172]   type = 11.00 (SB11_A_0_l)   chisq2 = 9.41   ODDS = 0.26   z_cluster = 0.396