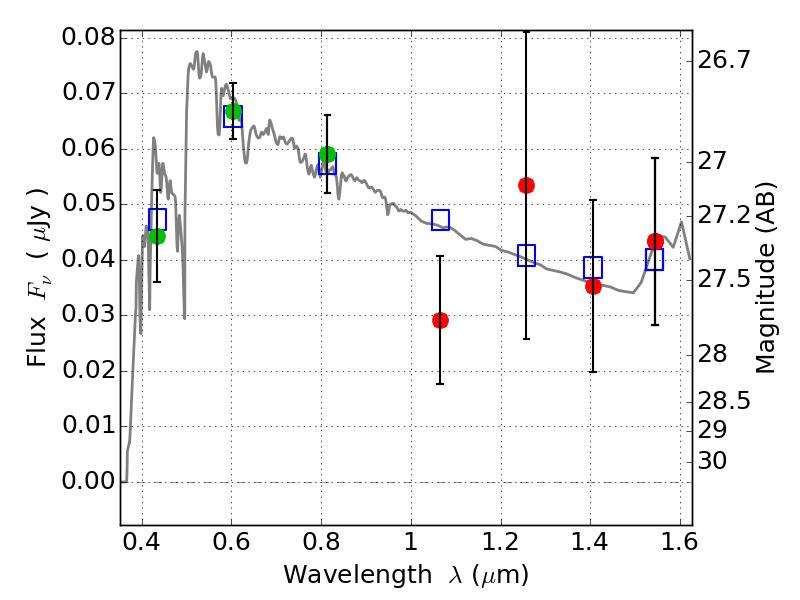
RXC0032+18 IR detection object #1146

Color images and BPZ results
Catalog: 1146.cat
Black segments are analyzed here.   Roll mouse over color images to view segments.
Best viewed in a wide browser window (1200 pixels or more).   Download SED & P(z) plots to view larger versions.
In P(z) plots: Yellow lines mark the cluster redshift z = 0.396,  

Object #1146   x,y = (1784, 1430)   RA, Dec = (00:32:14.280, 18:06:48.60) = (8.05950, 18.11350)   BPZ = 3.083 [0.252--3.348]   type = 11.00 (SB11_A_0_l)   chisq2 = 0.38   ODDS = 0.54   z_cluster = 0.396