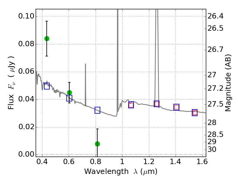
RXC0032+18 ACS+IR detection object #902

Color images and BPZ results
Catalog: 902.cat
Black segments are analyzed here.   Roll mouse over color images to view segments.
Best viewed in a wide browser window (1200 pixels or more).   Download SED & P(z) plots to view larger versions.
In P(z) plots: Yellow lines mark the cluster redshift z = 0.396,  

Object #902   x,y = (3277, 3739)   RA, Dec = (00:32:07.992, 18:09:07.20) = (8.03330, 18.15200)   BPZ = 1.594 [1.273--2.499]   type = 11.00 (SB11_A_0_l)   chisq2 = 16.41   ODDS = 0.24   z_cluster = 0.396