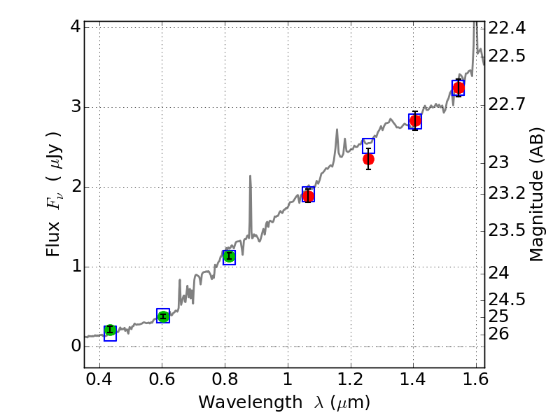
RXC0032+18 ACS+IR detection object #4996

Color images and BPZ results
Catalog: 4996.cat
Black segments are analyzed here.   Roll mouse over color images to view segments.
Best viewed in a wide browser window (1200 pixels or more).   Download SED & P(z) plots to view larger versions.
In P(z) plots: Yellow lines mark the cluster redshift z = 0.396,  

Object #4996   x,y = (2673, 1271)   RA, Dec = (00:32:10.536, 18:06:39.24) = (8.04390, 18.11090)   BPZ = 0.763 [0.577--0.944]   type = 6.30 (Sbc_B10 - Scd_B10)   chisq2 = 0.07   ODDS = 0.56   z_cluster = 0.396