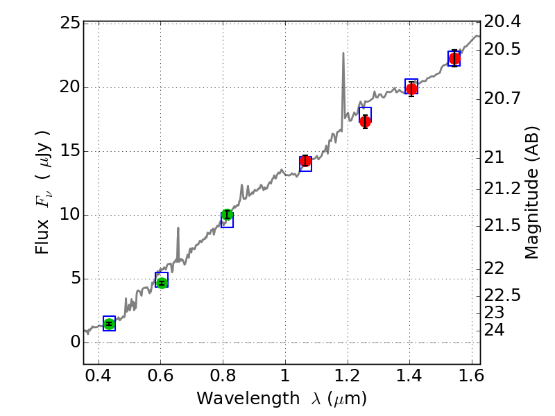
RXC0032+18 ACS+IR detection object #4096

Color images and BPZ results
Catalog: 4096.cat
Black segments are analyzed here.   Roll mouse over color images to view segments.
Best viewed in a wide browser window (1200 pixels or more).   Download SED & P(z) plots to view larger versions.
In P(z) plots: Yellow lines mark the cluster redshift z = 0.396,  

Object #4096   x,y = (1854, 1873)   RA, Dec = (00:32:13.968, 18:07:15.24) = (8.05820, 18.12090)   BPZ = 0.307 [0.198--0.463]   type = 6.20 (Sbc_B10 - Scd_B10)   chisq2 = 0.05   ODDS = 0.50   z_cluster = 0.396