RXC0032+18 ACS+IR detection object #3864

Color images and BPZ results
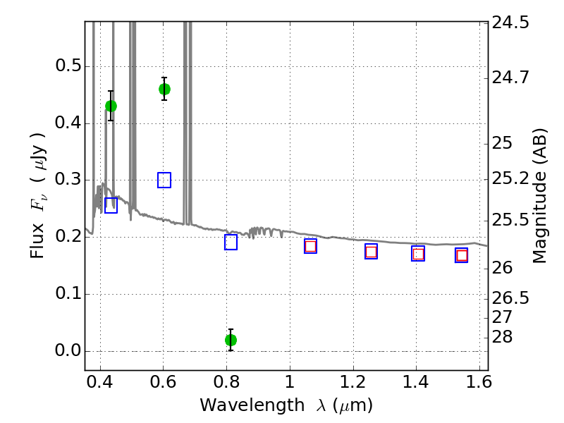
Catalog: 3864.cat
Black segments are analyzed here.   Roll mouse over color images to view segments.
Best viewed in a wide browser window (1200 pixels or more).   Download SED & P(z) plots to view larger versions.
In P(z) plots: Yellow lines mark the cluster redshift z = 0.396,  

Object #3864   x,y = (4258, 2033)   RA, Dec = (00:32:03.864, 18:07:24.96) = (8.01610, 18.12360)   BPZ = 0.017 [0.010--0.035]   type = 11.00 (SB11_A_0_l)   chisq2 = 139.40   ODDS = 1.00   z_cluster = 0.396