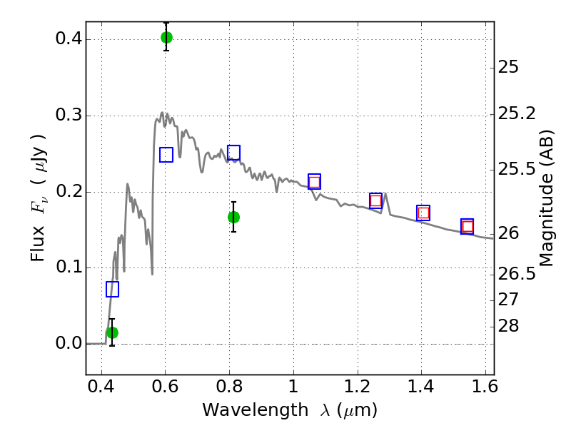
RXC0032+18 ACS+IR detection object #3812

Color images and BPZ results
Catalog: 3812.cat
Black segments are analyzed here.   Roll mouse over color images to view segments.
Best viewed in a wide browser window (1200 pixels or more).   Download SED & P(z) plots to view larger versions.
In P(z) plots: Yellow lines mark the cluster redshift z = 0.396,  

Object #3812   x,y = (4349, 2187)   RA, Dec = (00:32:03.480, 18:07:33.96) = (8.01450, 18.12610)   BPZ = 3.609 [3.497--3.690]   type = 11.00 (SB11_A_0_l)   chisq2 = 66.69   ODDS = 1.00   z_cluster = 0.396