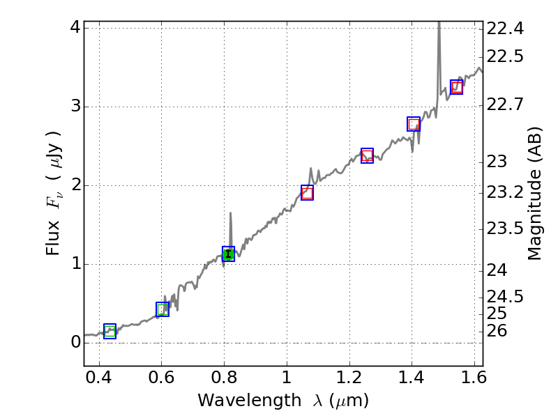
RXC0032+18 ACS+IR detection object #27

Color images and BPZ results
Catalog: 27.cat
Black segments are analyzed here.   Roll mouse over color images to view segments.
Best viewed in a wide browser window (1200 pixels or more).   Download SED & P(z) plots to view larger versions.
In P(z) plots: Yellow lines mark the cluster redshift z = 0.396,  

Object #27   x,y = (2931, 37)   RA, Dec = (00:32:09.456, 18:05:25.08) = (8.03940, 18.09030)   BPZ = 0.637 [0.151--3.262]   type = 6.20 (Sbc_B10 - Scd_B10)   chisq2 = 0.00   ODDS = 0.11   z_cluster = 0.396