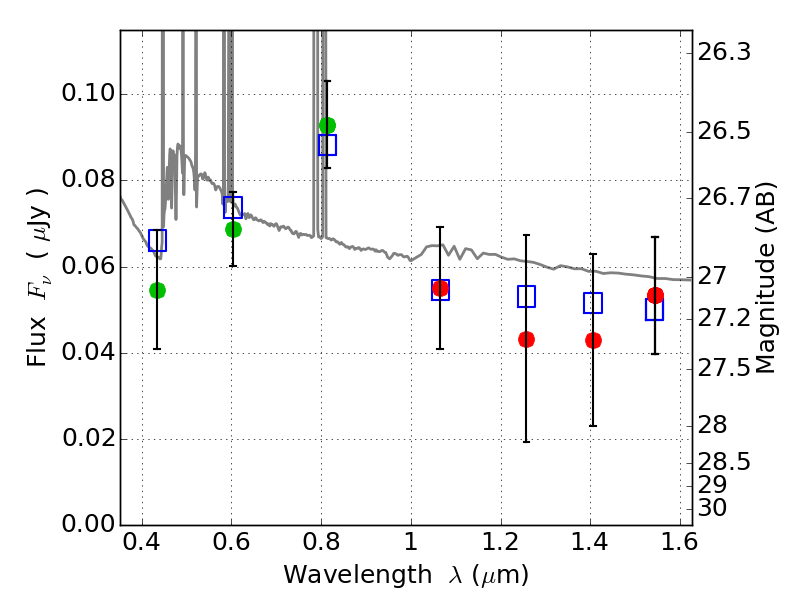
RXC0032+18 ACS+IR detection object #2679

Color images and BPZ results
Catalog: 2679.cat
Black segments are analyzed here.   Roll mouse over color images to view segments.
Best viewed in a wide browser window (1200 pixels or more).   Download SED & P(z) plots to view larger versions.
In P(z) plots: Yellow lines mark the cluster redshift z = 0.396,  

Object #2679   x,y = (3037, 2634)   RA, Dec = (00:32:09.000, 18:08:00.96) = (8.03750, 18.13360)   BPZ = 0.203 [0.096--0.780]   type = 11.00 (SB11_A_0_l)   chisq2 = 0.23   ODDS = 0.45   z_cluster = 0.396