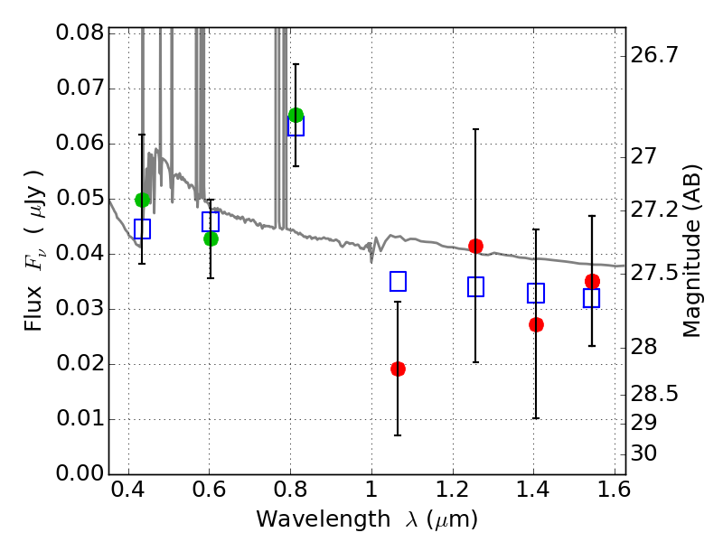
RXC0032+18 ACS+IR detection object #2138

Color images and BPZ results
Catalog: 2138.cat
Black segments are analyzed here.   Roll mouse over color images to view segments.
Best viewed in a wide browser window (1200 pixels or more).   Download SED & P(z) plots to view larger versions.
In P(z) plots: Yellow lines mark the cluster redshift z = 0.396,  

Object #2138   x,y = (2222, 2896)   RA, Dec = (00:32:12.432, 18:08:16.44) = (8.05180, 18.13790)   BPZ = 0.169 [0.089--0.911]   type = 11.00 (SB11_A_0_l)   chisq2 = 0.33   ODDS = 0.45   z_cluster = 0.396