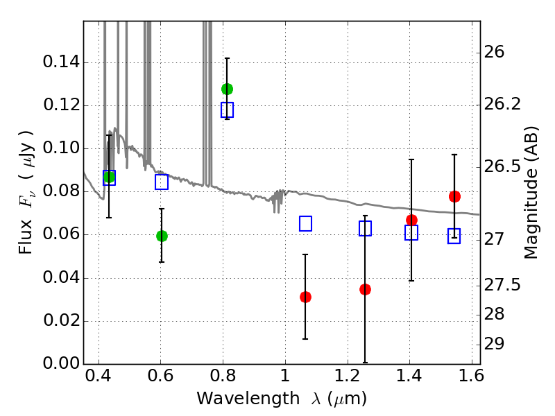
RXC0032+18 ACS+IR detection object #1842

Color images and BPZ results
Catalog: 1842.cat
Black segments are analyzed here.   Roll mouse over color images to view segments.
Best viewed in a wide browser window (1200 pixels or more).   Download SED & P(z) plots to view larger versions.
In P(z) plots: Yellow lines mark the cluster redshift z = 0.396,  

Object #1842   x,y = (2698, 3112)   RA, Dec = (00:32:10.416, 18:08:29.40) = (8.04340, 18.14150)   BPZ = 0.134 [0.090--0.631]   type = 11.00 (SB11_A_0_l)   chisq2 = 1.30   ODDS = 0.64   z_cluster = 0.396