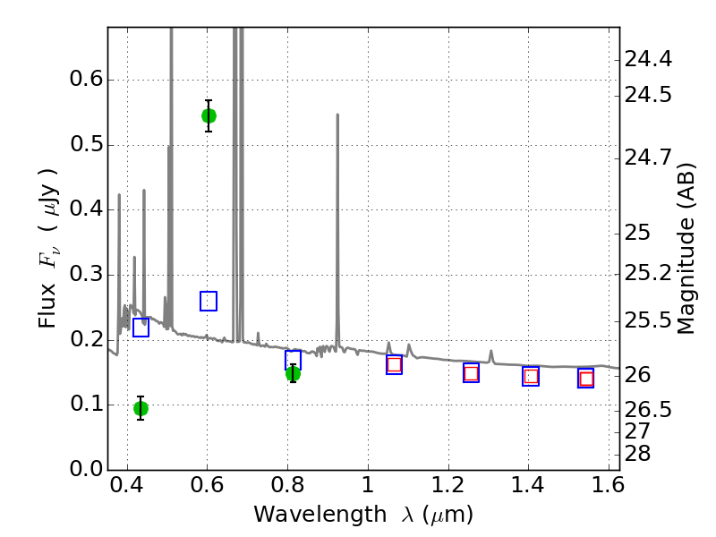
RXC0032+18 ACS+IR detection object #175

Color images and BPZ results
Catalog: 175.cat
Black segments are analyzed here.   Roll mouse over color images to view segments.
Best viewed in a wide browser window (1200 pixels or more).   Download SED & P(z) plots to view larger versions.
In P(z) plots: Yellow lines mark the cluster redshift z = 0.396,  

Object #175   x,y = (1927, 4622)   RA, Dec = (00:32:13.680, 18:10:00.12) = (8.05700, 18.16670)   BPZ = 0.017 [0.010--0.044]   type = 10.90 (SB11_A_0_l - SB3_B10)   chisq2 = 117.40   ODDS = 1.00   z_cluster = 0.396