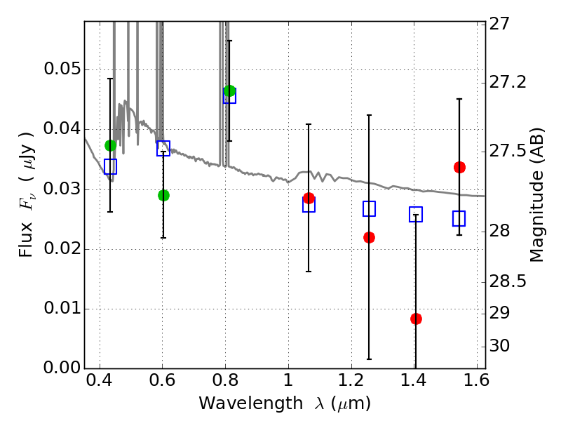
RXC0032+18 ACS+IR detection object #1705

Color images and BPZ results
Catalog: 1705.cat
Black segments are analyzed here.   Roll mouse over color images to view segments.
Best viewed in a wide browser window (1200 pixels or more).   Download SED & P(z) plots to view larger versions.
In P(z) plots: Yellow lines mark the cluster redshift z = 0.396,  

Object #1705   x,y = (3215, 3116)   RA, Dec = (00:32:08.256, 18:08:29.76) = (8.03440, 18.14160)   BPZ = 0.198 [0.105--3.334]   type = 11.00 (SB11_A_0_l)   chisq2 = 0.53   ODDS = 0.12   z_cluster = 0.396