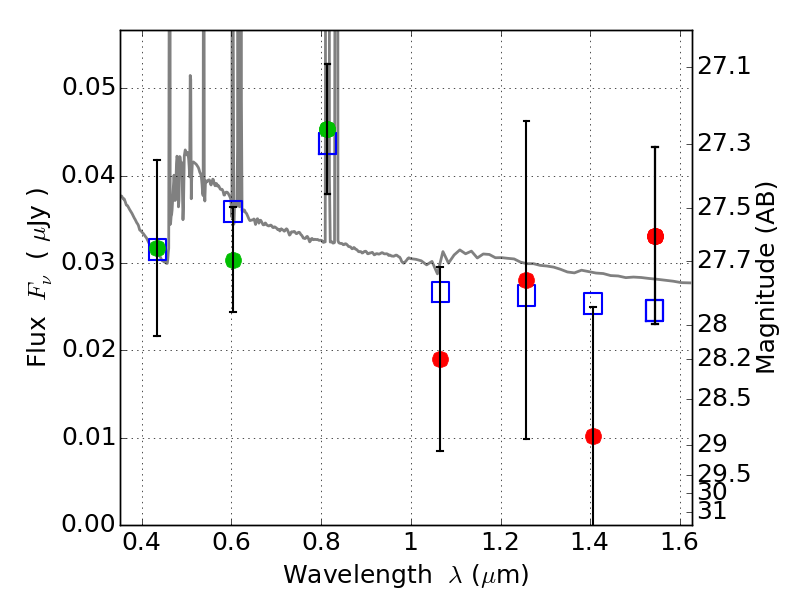
RXC0032+18 ACS+IR detection object #1510

Color images and BPZ results
Catalog: 1510.cat
Black segments are analyzed here.   Roll mouse over color images to view segments.
Best viewed in a wide browser window (1200 pixels or more).   Download SED & P(z) plots to view larger versions.
In P(z) plots: Yellow lines mark the cluster redshift z = 0.396,  

Object #1510   x,y = (2169, 3240)   RA, Dec = (00:32:12.648, 18:08:37.32) = (8.05270, 18.14370)   BPZ = 0.236 [0.102--3.439]   type = 11.00 (SB11_A_0_l)   chisq2 = 0.61   ODDS = 0.17   z_cluster = 0.396