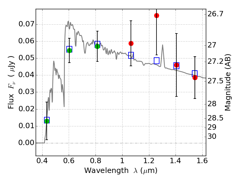
RXC0032+18 ACS+IR detection object #1294

Color images and BPZ results
Catalog: 1294.cat
Black segments are analyzed here.   Roll mouse over color images to view segments.
Best viewed in a wide browser window (1200 pixels or more).   Download SED & P(z) plots to view larger versions.
In P(z) plots: Yellow lines mark the cluster redshift z = 0.396,  

Object #1294   x,y = (2336, 3410)   RA, Dec = (00:32:11.952, 18:08:47.40) = (8.04980, 18.14650)   BPZ = 3.655 [0.263--4.041]   type = 10.50 (SB11_A_0_l - SB3_B10)   chisq2 = 0.24   ODDS = 0.57   z_cluster = 0.396