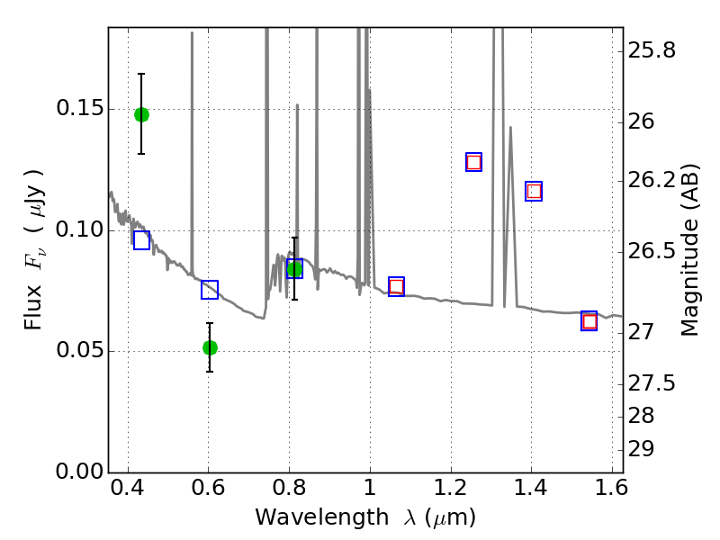
RXC0032+18 ACS+IR detection object #1200

Color images and BPZ results
Catalog: 1200.cat
Black segments are analyzed here.   Roll mouse over color images to view segments.
Best viewed in a wide browser window (1200 pixels or more).   Download SED & P(z) plots to view larger versions.
In P(z) plots: Yellow lines mark the cluster redshift z = 0.396,  

Object #1200   x,y = (3658, 3472)   RA, Dec = (00:32:06.384, 18:08:51.00) = (8.02660, 18.14750)   BPZ = 1.003 [0.752--2.238]   type = 11.00 (SB11_A_0_l)   chisq2 = 11.07   ODDS = 0.36   z_cluster = 0.396