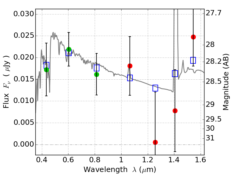
RXC0032+18 IR detection object #979

Color images and BPZ results
Catalog: 979.cat
Black segments are analyzed here.   Roll mouse over color images to view segments.
Best viewed in a wide browser window (1200 pixels or more).   Download SED & P(z) plots to view larger versions.
In P(z) plots: Yellow lines mark the cluster redshift z = 0.396,  

Object #979   x,y = (2740, 1725)   RA, Dec = (00:32:10.248, 18:07:06.24) = (8.04270, 18.11840)   BPZ = 2.786 [0.298--3.365]   type = 10.70 (SB11_A_0_l - SB3_B10)   chisq2 = 0.72   ODDS = 0.22   z_cluster = 0.396