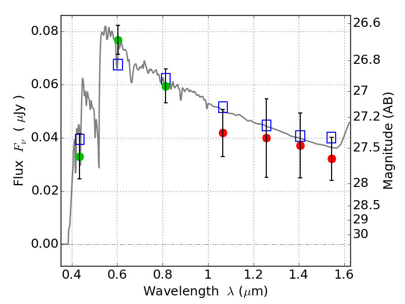
RXC0032+18 IR detection object #591

Color images and BPZ results
Catalog: 591.cat
Black segments are analyzed here.   Roll mouse over color images to view segments.
Best viewed in a wide browser window (1200 pixels or more).   Download SED & P(z) plots to view larger versions.
In P(z) plots: Yellow lines mark the cluster redshift z = 0.396,  

Object #591   x,y = (2070, 2486)   RA, Dec = (00:32:13.080, 18:07:51.96) = (8.05450, 18.13110)   BPZ = 3.277 [0.216--3.532]   type = 11.00 (SB11_A_0_l)   chisq2 = 1.04   ODDS = 0.71   z_cluster = 0.396