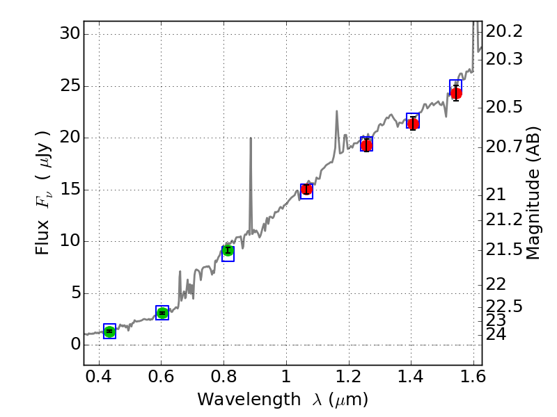
RXC0032+18 IR detection object #1193

Color images and BPZ results
Catalog: 1193.cat
Black segments are analyzed here.   Roll mouse over color images to view segments.
Best viewed in a wide browser window (1200 pixels or more).   Download SED & P(z) plots to view larger versions.
In P(z) plots: Yellow lines mark the cluster redshift z = 0.396,  

Object #1193   x,y = (2795, 1298)   RA, Dec = (00:32:10.008, 18:06:40.68) = (8.04170, 18.11130)   BPZ = 0.768 [0.692--0.844]   type = 6.40 (Sbc_B10 - Scd_B10)   chisq2 = 0.04   ODDS = 0.94   z_cluster = 0.396