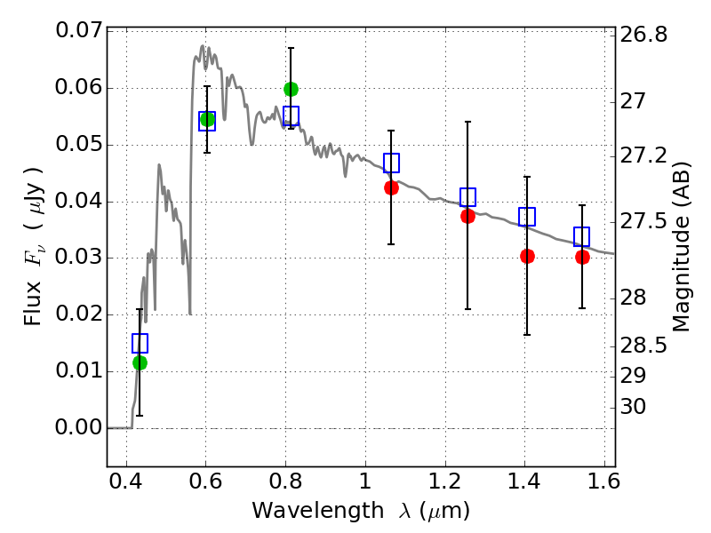
RXC0032+18 IR detection object #1089

Color images and BPZ results
Catalog: 1089.cat
Black segments are analyzed here.   Roll mouse over color images to view segments.
Best viewed in a wide browser window (1200 pixels or more).   Download SED & P(z) plots to view larger versions.
In P(z) plots: Yellow lines mark the cluster redshift z = 0.396,  

Object #1089   x,y = (2074, 1549)   RA, Dec = (00:32:13.056, 18:06:55.80) = (8.05440, 18.11550)   BPZ = 3.622 [0.307--3.950]   type = 11.00 (SB11_A_0_l)   chisq2 = 0.26   ODDS = 0.71   z_cluster = 0.396