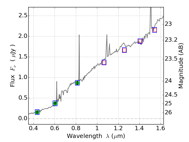
RXC0032+18 ACS+IR detection object #5534

Color images and BPZ results
Catalog: 5534.cat
Black segments are analyzed here.   Roll mouse over color images to view segments.
Best viewed in a wide browser window (1200 pixels or more).   Download SED & P(z) plots to view larger versions.
In P(z) plots: Yellow lines mark the cluster redshift z = 0.396,  

Object #5534   x,y = (2186, 819)   RA, Dec = (00:32:12.576, 18:06:11.88) = (8.05240, 18.10330)   BPZ = 0.659 [0.423--1.313]   type = 6.70 (Scd_B10 - Sbc_B10)   chisq2 = 0.00   ODDS = 0.41   z_cluster = 0.396